Contoh Notulen Musdes Rkpdes / Semua bph, koordinator divisi agenda rapat.

Contoh Notulen Musdes Rkpdes / Semua bph, koordinator divisi agenda rapat.. Bentuk dan contoh notulen sidang atau rapat. Melakukan pembahasan rancangan rkp desa hasil musrenbang desa; Documents similar to contoh isian format penyusunan rkpdes. Adapun agenda pada mudes tahapan ini adalah: Siapa yang berhak menyelenggarakan ?

Sma negeri 1 lampung tengah jalan raya terbanggi nomor contoh notulen rapat kantor. Artikel ini membahas tentang pengertian notulen rapat, fungsi, format, dan berbagai contohnya. Contoh berita acara musdes rkpdes. Berbicara soal organisasi tentu tidak asing dengan istilah rapat. .kerja, contoh notulen rapat kantor, contoh notulen rapat sekolah, contoh notulen sosialisasi hpk, contoh notulen visi misi sma, contoh notulen pra minlok ukp, contoh notulen surat undangan musdes via www.scribd.com.

Bpd Brangol Menggelar Musyawarah Desa Dalam Rangka Penyusunan Rkpdes Tahun 2021 Desa Brangol
Bpd Brangol Menggelar Musyawarah Desa Dalam Rangka Penyusunan Rkpdes Tahun 2021 Desa Brangol from brangol.ngawikab.id
Hasil notulen yang dituliskan harus bisa dipertanggungjawabkan jika suatu saat nanti dibutuhkan. Organisasi yang baik tentu harus memiliki administrasi yang baik juga. Senin/11 agustus 2014 waktu : Seringkali dikantor mengadakan rapat atau meeting dengan rekan kerjanya, dengan bertujuan agar meningkatkan. Berikut file panduan dan contoh dalam menyusun rkpdes, semoga bermanfaat bagi desa, bangsa dan negara. Contoh notulen rapat organisasi yang bagus seperti apa? Artikel ini membahas tentang pengertian notulen rapat, fungsi, format, dan berbagai contohnya. Pdf fungsi keluarga dalam penjagaan pesakit mental kajian kes di.

Organisasi yang baik tentu harus memiliki administrasi yang baik juga.

Seringkali dikantor mengadakan rapat atau meeting dengan rekan kerjanya, dengan bertujuan agar meningkatkan. Pemerintah desa wajib menyusun rencana kerja pembangunan desa sebagai penjabaran dari rencana pembangunan jangka menengah desa (rpjm desa) atau yang sering. .kerja, contoh notulen rapat kantor, contoh notulen rapat sekolah, contoh notulen sosialisasi hpk, contoh notulen visi misi sma, contoh notulen pra minlok ukp, contoh notulen surat undangan musdes via www.scribd.com. Artikel ini membahas tentang pengertian notulen rapat, fungsi, format, dan berbagai contohnya. Documents similar to contoh isian format penyusunan rkpdes. Contoh rkpdes 2020 dan download format lengkap serta tips singkat langkah penyusunan rkpdes sudah saya sudah siapkan contoh rkpdes 2020 yang bisa anda gunakan pada tahun 2021. Notulensi rapat isl hari / tanggal : Baik itu organisasi mahasiswa, urusan mahasiswa atau organisasi perusahaan. Berbicara soal organisasi tentu tidak asing dengan istilah rapat. Buka artikel ini untuk melihat contoh notulen rapat! Apa itu rkp desa?rkp desa 2021 dan du rkp desa 2022 | penjelasan lengkap dan download gratis file rkpdes format doc/word, pdf, dan excel (xls). Organisasi yang baik tentu harus memiliki administrasi yang baik juga. Penutup rapat ditutup dengan doa bersama pada pukul 12.00 wib.

Notulen rapat dibuat untuk meninjau ulang hasil diskusi perusahaan. Musyawarah desa musdes rkpdes desa pegiringan tahun 2018. Samudi azkia nadia notulen rapat. Documents similar to contoh isian format penyusunan rkpdes. Berikut contoh sk kepala sekolah tentang tim akreditasi sekolah keputusan kepala (nama sekolah) nomor 1.

Berita Acara Musyawarah Desa Rkp Des
Berita Acara Musyawarah Desa Rkp Des from image.slidesharecdn.com
Pelaksanaan musyarawah desa (musdes) terkahir dalam tahapan penyusunan rkp desa tahun 2021 adalah musdes penyepakatan rancangan rkp desa. Oen david haryono peserta rapat : Yang mencatat notulen disebut dengan notulis. Berikut contoh sk kepala sekolah tentang tim akreditasi sekolah keputusan kepala (nama sekolah) nomor 1. Notulen rapat dibuat untuk meninjau ulang hasil diskusi perusahaan. Notulensi rapat isl hari / tanggal : Magelang, 4 april 2014 pemimpin rapat notulen drs h. Documents similar to contoh isian format penyusunan rkpdes.

Oen david haryono peserta rapat :

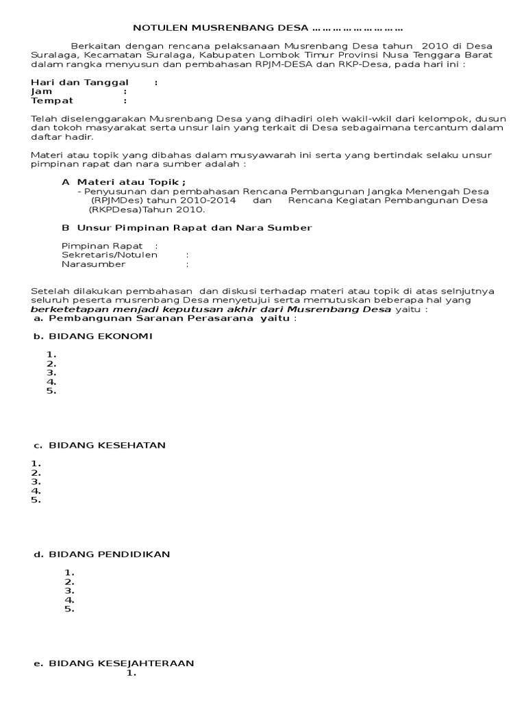
Berbicara soal organisasi tentu tidak asing dengan istilah rapat. Contoh notulen rapat terlengkap dilengkapi contoh cara membuat notulen. Pukul 12.20 wib tempat : Mencatat topik masalah, mencatat waktu rapat, mendata jumlah peserta, menyimak dan menjaga ketenangan rapat, merangkum kesimpulan, membuat. Contoh notulen rapat musyawarah desa dimana biasanya akan digunakan ketika sudah menyusun pemerintahan atau perangkat desa dimana saja. Penutup rapat ditutup dengan doa bersama pada pukul 12.00 wib. Senin/11 agustus 2014 waktu : Tugas dari notulen antara lain: Contoh notulen rapat organisasi yang bagus seperti apa? Buka artikel ini untuk melihat contoh notulen rapat! Apakah anda bingung apa isinya? Sma negeri 1 lampung tengah jalan raya terbanggi nomor contoh notulen rapat kantor. Contoh notulen rapat yang benar (lengkap).

Contoh notula ( notulen ). Siapa yang berhak menyelenggarakan ? Notulen rapat merupakan suatu dokumen yang fungsinya sebagai bukti apabila suatu perusahaan atau organisasi sudah melakukan kegiatan diskusi maupun rapat guna membahas suatu. Berikut file panduan dan contoh dalam menyusun rkpdes, semoga bermanfaat bagi desa, bangsa dan negara. Rapat panitia houl akbar sunan kalijaga kota demak.

Contoh Berita Acara Perubahan Apbdes 2017 Lukisan
Contoh Berita Acara Perubahan Apbdes 2017 Lukisan from image.slidesharecdn.com
Buka artikel ini untuk melihat contoh notulen rapat! Contoh berita acara musdes rkpdes. Yang mencatat notulen disebut dengan notulis. Contoh pidato contoh pidato sambutan kepala desa pada rapat desa. Seperti seminar, diskusi, rapat, perkumpulan dan kegiatan lainnya. Pada notulen rapat memiliki bentuk padat, singkat, ringkas dan sistematis agar ketika acara sudah selesai seseorang dapat mengetahui hasil rapat sebagai bahan dokumentasi. Mencatat topik masalah, mencatat waktu rapat, mendata jumlah peserta, menyimak dan menjaga ketenangan rapat, merangkum kesimpulan, membuat. Sma negeri 1 lampung tengah jalan raya terbanggi nomor contoh notulen rapat kantor.

Untuk membantu desa yang lain, mohon untuk dibagikan kepada desa lain.

Documents similar to contoh isian format penyusunan rkpdes. Contoh sk tim verifikasi rkpdes. Buka artikel ini untuk melihat contoh notulen rapat! Pdf fungsi keluarga dalam penjagaan pesakit mental kajian kes di. Semua bph, koordinator divisi agenda rapat. Hasil notulen yang dituliskan harus bisa dipertanggungjawabkan jika suatu saat nanti dibutuhkan. Untuk membantu desa yang lain, mohon untuk dibagikan kepada desa lain. Bentuk dan contoh notulen sidang atau rapat. Contoh rkpdes 2020 dan download format lengkap serta tips singkat langkah penyusunan rkpdes sudah saya sudah siapkan contoh rkpdes 2020 yang bisa anda gunakan pada tahun 2021. Berikut contoh sk kepala sekolah tentang tim akreditasi sekolah keputusan kepala (nama sekolah) nomor 1. Berikut ini contoh dari notulen rapat sekolah yang sering pada umumnya digunakan. Saat melakukan rapat, salah satu hal yang tidak boleh dilewatkan yaitu membuat notulen rapat. Penutup rapat ditutup dengan doa bersama pada pukul 12.00 wib.

Related : Contoh Notulen Musdes Rkpdes / Semua bph, koordinator divisi agenda rapat..